Two meetings took place with the new NPDC Water Company on 17th & 18th March which are of considerable interest to Ratepayers.
We noticed 2 meetings took place with the new NPDC Water Company last week which are of considerable interest to Ratepayers.
On 17th March WaterCo1 – our Water Council Controlled Organisation (WSCCO) led by Interim CEO, Neil Holdom, had a meeting –
and -
On 18th March Te Huinga Taumatua (the Council committee with Iwi and Hapu representation) also had a meeting.
We only noticed these 2 meetings because we were looking in to the Daily News story with the almost $1M Service Level Agreement contract with Puketapu Hapu which had been held up with signing.
It was quite strange really, as -
There was no mention of the service level agreement the Daily News had written about in the Te Huinga meeting agenda,
And -
There was no detail in the WaterCo1 agenda about what they were working on and discussing – there was a list – but no detail –
But –
WaterCo1 featured very heavily in item 7 of the Te Huinga meeting agenda – with the detail that was lacking in the agenda for the WaterCo1 meeting.
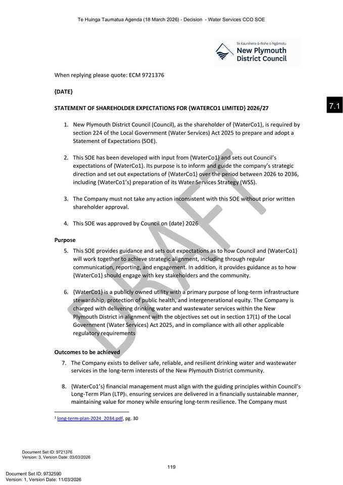
We’ve attached a picture with the lack of detail for the WaterCo1 meeting agenda. (There is also a link to the full detail in the Te Huinga Taumatua Agenda at the end of this story).
Why was the detail of the WaterCo1 meeting in the Te Huinga meeting ? and not in the WaterCo1 meeting ?
As stated in the WaterCo1 segment of the Te Huinga Taumatua Agenda:
“This was a meeting about the WaterCo1 Statement of Expectations (SOE) which is a key governance instrument through which New Plymouth District Council, as shareholder, articulates expectations regarding the strategic direction, performance and accountability of the Water Council Controlled Organisation”.
The agenda notes that the SOE provides direction for ongoing engagement with iwi and hapu.
And it notes that in addition to the SOE, the intention of WaterCo1 is to develop further documents to inform an active strategy of engagement with iwi and hapu.
This meeting and these discussions come under Council’s Significance and Engagement policy.
This was a meeting about iwi and hapu and WaterCo1 – the new water company which will significantly affect people who will soon be paying separate rates for their water supply, and water charges for their water use.
What does the new Local Government (Water Services) Act 2025 say about the objectives of these new Water Service Providers – in our case WaterCo1 ?
Objectives of water service providers
The objectives of the water service providers are –
(a) To provide water services that –
(i) Are reliable; and
(ii) Are resilient to external factors, for example, climate change and natural hazards; and
(iii) Are of a quality that meets consumer expectations; and
(iv) Meet all regulatory requirements, including, if the water service provider is responsible for water supply services, providing drinking water that is safe for consumers; and
(b) To ensure that it provides water services in a cost-effective and financially sustainable manner, including by –
(i) Planning effectively to manage water services infrastructure used to provide water services in the future; and
(ii) Sharing the benefits of efficiency gains with consumers, including when setting charges for water services; and
(iii) Using water resources efficiently when providing water supply services; and
(c) To perform its functions as a water services provider –
(i) In an open, transparent and accountable manner; and
(ii) In accordance with sound business practice; and
(d) To act in the best interest of current and future users
Looking at the agenda for the Te Huinga meeting on 18th March we don’t think there has been very much about the set up of the Water CCO so far that has been open, transparent or accountable to the Ratepayers, or the overall community of New Plymouth.
We see the NPDC established a WSCCO Oversight Group made up of Councillors Chard, Bublitz, Woodward and Moehau. It appears this group of Councillors have been reviewing governance arrangements for WaterCo1.
All of the Councillors are meant to represent all of the people’s best interest, yet the general population of New Plymouth have not heard anything of this SOE document being created, and they are not being asked to “engage” with what they think about this very important SOE document.
But iwi and hapu have been heavily involved with input for the SOE.
So, what was in the agenda being discussed about our new CCO, WaterCo1 ? This is a summary:
- The report seeks a recommendation for this committee about whether to adopt the SOE.
- This SOE is a core shareholder governance (legal) instrument and will align legislative requirements for the WSCCO and the Council’s strategic direction.
- The WSCCO is being established with an ongoing commitment to Te Tiriti O Waitangi partnership. The SOE provides transparency and certainty at the point of establishment recognising the shared stewardship with iwi and hapu.
- Feedback on the draft SOE is being sought by the Te Huinga committee and the WSCCO Board and will be considered by the WSCCO Oversight Group (Elected members Chard, Bublitz, Woodward and Moehau).
- The draft SOE has undergone an independent legal review.
- This SOE is issued by the NPDC on a three-yearly cycle to inform and guide the decisions of the Board.
- The SOE is particularly significant as it will guide the development of the Water Services Strategy.
- This SOE is a key accountability mechanism for the DIA (Department of Internal Affairs) requirements under Local Water Done Well.
- WatercCo1 is required by legislation to give effect to the SOE.
- The SOE has a set of mandatory matters it must address – but it CAN also address matters such as to undertake community or customer engagement and the contents of what that engagement will be. (This SOE has nothing about the community or customers – just iwi and hapu engagement).
- Once voted on by the elected officials – with at this stage - no plan for the draft SOE to be consulted with the community – the final SOE will be published on the NPDC Website (as required by law). This appears to be the plan, with this agenda, of when the community finds out what has been set up.
A copy of the SOE document is attached.
The agenda states:
“Council staff have identified and assessed all reasonably practicable options for addressing this matter, and
Considered the views of any interested and affected persons in proportion to the significance of the matter”
- This statement suggests that Council Staff do not think the views of their community – or future consumers of the Water CCO - are relevant, or significant, in establishing the strategic direction, performance and accountability to operate the new Water Company. This statement suggests the community are not interested or affected by significant costs which will go along with new water rates charges.
How can it even be suggested that Ratepayers and the Community are not affected by these decisions and the future operation of the Water Company ?
We’ve attached a diagram from this agenda showing that the elected members of the Council are accountable to the Communities who elect them AND the water organisation Consumers.
Where is the accountability to the community and consumers with what is being created for WaterCo1 so far ?
The next steps at the end of this agenda are presenting the SOE to elected officials on 30th April 2026 – no Community Engagement is even suggested.
- People, do we want to do something about that ?
The law states the community CAN be included as a stakeholder and the Community and Consumers CAN have an engagement plan of their own as part of the SOE.
- So, do you want to be included as a stakeholder, with your own engagement plan as either a member of the community, or as a consumer with the new water company ?
- Are you unhappy that the Community is not being involved in discussions about how their water company will operate ?
Then write to the Mayor and Councillors and tell them WHAT you are not happy about, and ask for a Community and Consumer Engagement Clause in the WaterCo1 Statement of Expectations.
You MUST be polite – please do not swear or be abusive – this will not help the community to be heard and won’t help to get a clause added to the SOE for the people who will be affected by the future water supply.
If you don’t tell the Councillors what you want them to do, they can’t vote on your behalf.
Copy and paste these addresses into a new e-mail, or write a letter with all the elected officials names, and drop it off at the Council reception:
Send the email to: enquiries@NPDC.govt.nz
You can also write to the Councillors on our WSCCO Oversight Group - Graham Chard, John Woodward, David Bublitz and Dinnie Moehau and tell them you are disappointed. Their job is to represent everyone – ask why they haven’t asked for engagement plans for consumers and the rest of the community. Again – please do not swear or use abusive language or you will not be heard.
- Please share this story with lots of people, forward on e-mails, tell people you know, and ask others to also e-mail the NPDC.
We have attached a flyer you can print off. Take it to work to put on the smoko table (check with your boss first), take it to exercise classes, hobby groups, drop some in your neighbour’s letterboxes, give a copy to friends and family. Ask everyone to pass a copy on to others.
- If this SOE document is accepted it will be 3 years before you get another chance to have a say about how this Water Company is run.
The wording in the draft SOE relating to the Relationship with Iwi, Hapū, and other Māori Organisations, was presented and discussed with the NPDC Ngā Kaitiaki forum on 25 February 2026. Iwi and Hapu have supplied feedback to the Te Huinga Committee.
We have attached the Agenda copy of the 3 pages of feedback from this forum – and the expectations iwi and hapu have regarding involvement with WaterCo1.
This is a link to the full agenda for the Te Huinga meeting here:
https://www.npdc.govt.nz/media/gy3lppyw/ecm_9732590_v1_te-huinga-taumatua-agenda-18-march-2026.pdf
Minutes from the meeting are here:
https://www.npdc.govt.nz/media/onhdgkqs/ecm_9733319_v2_te-huinga-taumatua-minutes-18-march-2026.pdf
Posted: Thu 26 Mar 2026












